컴퓨터가 단순하게 연산하기 때문에, 기본적인 컴퓨터 과학과 수학은 통하는 부분이 있습니다. 그러므로 수학을 학습하는 것은 프로그래밍의 기본을 탄탄히 하는 일입니다. 그러므로 수학은 프로그래밍에 많은 도움이 됩니다.
알고리즘 파트에서 다루는 수학은 중학교 수준의 수학입니다. 알고리즘 테스트(코딩 테스트)를 해결하는데 필요한 최소한의 수학을 다룹니다. 프로그래밍을 위한 최소한의 수학이기 때문에 학습해야만 하는 내용입니다. 알고리즘 문제에서 자주 다루는 최소한의 수학만 익혀, 적재적소에 활용할 수 있는 능력을 기르는 것이 가장 큰 목표입니다.
최근 코딩 테스트에 등장하는 알고리즘 문제는 단순히 "너 이 알고리즘 알아?"라고 물어보지 않습니다. 요즘 출제되는 문제는 "특정 방법을 사용해서 풀어 볼래?"라고 물어보는 문제가 자주 등장합니다. 이때 "특정 방법을 사용해서 풀어 볼래?"라는 질문은 수학적 사고 능력, 다시 말해 "컴퓨팅 사고를 할 수 있어?"라고 물어보는 것과 같습니다.
1. 순열 / 조합
문제: [A, B, C, D, E]로 이뤄진 5장의 카드가 있습니다. 이 5장의 카드 중 3장을 선택하여 나열하려고 합니다. 이때, 다음의 조건을 각각 만족하는 경우를 찾아야 합니다.
- 순서를 생각하며 3장을 선택합니다.
- 순서를 생각하지 않고 선택합니다.
조건 1을 만족하는 모든 경우의 수
1번 조건에서 모든 경우의 수를 구할 때에는 모든 카드를 1장씩 나열하면서 나열된 카드가 3장에 도달하면 카드의 나열을 중지합니다.
1번의 조건을 만족하려면, 다음과 같은 방법으로 경우의 수를 구합니다.
- 첫번째 나열하는 카드를 선택하는 방법에는 다섯 가지가 있습니다.
- 첫번째 카드를 나열하고 난 다음, 두번째 카드를 선택하는 방법에는 네 가지가 있습니다.
- 두번째 카드를 나열하고 난 다음, 세번째 카드를 선택하는 방법에는 세 가지가 있습니다.
따라서 5 X 4 X 3 = 60 가지의 방법이 있습니다.
이렇게 n 개 중에서 일부만을 선택하여 나열하는 것을 순열이라고 합니다. 순열은 순서를 지키며 나열해야 합니다. 예를 들어 카드를 3장 뽑을 때, [A, B, D]와 [A, D, B] 두 경우 모두 A, B, 그리고 D라는 같은 카드를 3장 선택했지만, 나열하는 순서가 다르므로 서로 다른 경우로 파악해야 합니다.
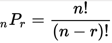
순열은 일반화 과정을 거쳐, Permutation의 약자 P로 표현합니다.

- 5장에서 3장을 선택하는 모든 순열의 수 = 5P3 = (5 X 4 X 3 X 2 X 1) / (2 X 1) = 60
- 일반식 : nPr = n! / (n - r)!
- ! 은 팩토리얼(factorial)로 n! 은 n에서부터 1씩 감소하여 1까지의 모든 정수의 곱입니다. (n 보다 작거나 같은 모든 양의 정수의 곱입니다.)
- 5! = 5 X (5 - 1) X (5 - 2) X (5 - 3) X (5 - 4) = 5 X 4 X 3 X 2 X 1 = 120
- 팩토리얼에서 0!과 1!은 모두 1입니다.
조건 2를 만족하는 모든 경우의 수
2번 조건에서 모든 경우의 수를 구할 때는 3장을 하나의 그룹으로 선택해야 합니다. 2번의 조건을 만족하려면, 다음과 같은 방법으로 경우의 수를 구합니다.
- 순열로 구할 수 있는 경우를 찾습니다.
- 순열로 구할 수 있는 경우에서 중복된 경우의 수를 나눕니다.
먼저, 조합은 순열과 달리 순서를 고려하지 않습니다. 만약 순열처럼 순서를 생각하여 경우의 수를 센다면, 조합으로써 올바르지 않을 겁니다. 예를 들어 순열에서는 [A, B, C], [A, C, B], [B, A, C], [B, C, A], [C, A, B], [C, B, A]의 여섯 가지는 모두 다른 경우로 취급하지만, 조합에서는 이 여섯 가지를 하나의 경우로 취급합니다. 다시 말해 순열에서처럼 순서를 생각하여 선택하면, 중복된 경우가 6배 발생합니다.
여기서 나온 여섯 가지 경우의 수는 3장의 카드를 순서를 생각하여 나열한 모든 경우의 수입니다. 3장의 카드를 순열 공식에 적용한 결과가 3! / (3-3)! = (3 X 2 X 1) / 1 = 6 입니다. 순서를 생각하느라 중복된 부분이 발생한 순열의 모든 가짓수를, 중복된 6가지로 나누어 주면 조합의 모든 경우의 수를 얻을 수 있습니다.
따라서 (5 X 4 X 3 X 2 X 1) / ((3 X 2 X 1) X (2 X 1)) = 10 입니다.
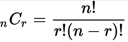
조합은 일반화 과정을 거쳐, Combination의 약자 C로 표현합니다.

- 5장에서 3장을 무작위로 선택하는 조합에서 모든 경우의 수 = 5C3 = 5! / (3! * 2!) = 10
- 일반식: nCr = n! / (r! * (n - r)!)
카드뽑기 문제를 통해 순열과 조합을 살펴보았습니다.
이번에는 코딩 테스트에 나올법한 간단한 문제를 예시로 어떤 수학적 개념이 필요한지 알아보겠습니다.
문제 2
문제: 소수 찾기
한 자리 숫자가 적힌 종잇조각이 흩어져 있습니다. 흩어진 종잇조각을 붙여 소수를 몇 개 만들 수 있는지 알아내려 합니다. 종이에 기록된 모든 숫자가 배열로 주어진다면, 이 종잇조각으로 만들 수 있는 소수는 몇 개인가요?
이 문제에는 순열이 숨어 있습니다. 만약 이 사실을 알아차린다면, 문제를 보다 쉽게 해결할 수 있습니다. 순열을 이용한다면, 다음과 같이 전략을 세울 수 있습니다.
- n 개의 숫자 중에 1~k 개를 뽑아서 순열을 생성합니다.
- 각 순열을 정수로 변환하고, 해당 정수가 중복되지 않으면서 동시에 소수인지 검사합니다.
- 소수이면 개수를 셉니다.
숫자는 순서에 의해 전혀 다른 값이 될 수 있습니다. 예를 들어 123과 321은 전혀 다른 숫자입니다. 만약 이 문제를 조합으로 접근하게 된다면, 123과 321은 같은 경우로 취급합니다. 따라서, 순서를 고려하지 않고 k 개를 뽑아내는 조합으로는 이 문제를 해결할 수 없습니다.
문제 3
문제: 일곱 난쟁이
왕비를 피해 일곱 난쟁이와 함께 평화롭게 생활하고 있던 백설 공주에게 위기가 찾아왔습니다. 하루일과를 마치고 돌아온 "일곱" 난쟁이가 "아홉" 명이었던 겁니다. 아홉 명의 난쟁이는 모두 자신이 "백설 공주와 일곱 난쟁이"의 주인공이라고 주장했습니다. (뛰어난 수학적 직관력을 가지고 있던) 백설 공주는 일곱 난쟁이의 키의 합이 100임을 기억해 냈습니다. 아홉 난쟁이 각각의 키가 주어질 때, 원래 백설 공주와 평화롭게 생활하던 일곱 난쟁이를 찾는 방법은 무엇인가요?
위 문제는 조합을 이용해서 일곱 난쟁이를 찾을 수 있습니다. 모든 일곱 난쟁이의 키를 합했을 때 100이 된다고 주어졌기 때문에, 9명의 난쟁이 중 7명의 난쟁이를 순서를 생각하지 않고, 난쟁이 7명의 키를 합했을 때 100이 되는 경우를 찾으면 됩니다.
위 두 문제와 같이 순열과 조합을 활용하는 문제는, 문제를 먼저 이해하고 지문 속에서 힌트를 얻어 활용할 수 있어야 합니다.
2. GCD/LCM(최대공약수, 최소공배수)
- 약수: 어떤 수를 나누어떨어지게 하는 수
- 배수: 어떤 수의 1, 2, 3, ...n 배하여 얻는 수
- 공약수: 둘 이상의 수의 공통인 약수
- 공배수: 둘 이상의 수의 공통인 배수
- 최대 공약수(GCD. Greatest Common Divisor): 둘 이상의 공약수 중에서 최대인 수
- 최소 공배수(LCM. Least Common Multiple): 둘 이상의 공배수 중에서 최소인 수
문제 1
방역용 마스크를 제작/판매하는 Mask States 사는 이례적인 전염성 독감 예방을 위해 기존 가격을 유지하며 약속된 물량의 방역용 마스크를 제공하고 있습니다. 이 회사는 사장을 포함하여 A, B, C 세 명뿐이고, 이들 모두 마스크를 제작합니다. 각각의 제작 속도는 다음과 같습니다. A는 55분마다 9개를, B는 70분마다 15개를, C는 85분마다 25개의 방역용 마스크를 만들 수 있습니다. 이 회사의 사람들은 05:00 시부터 동시에 마스크를 만들기 시작하여 각 55분, 70분, 85분 동안 연속으로 마스크를 제작한 후, 5분씩 휴식을 취합니다. 이들 세 명이 처음으로 동시에 쉬는 시점이 퇴근 시간이라면, 이날 하루에 제작한 마스크는 모두 몇 개인가요? (휴식시간과 퇴근시간이 겹치는 경우, 휴식을 취한 뒤 퇴근합니다.)
풀이 방법은 다양합니다. 그러나 이 문제에서 최소 공배수를 떠올릴 수 있다면, 더 쉽고 빠르게 문제를 해결할 수 있습니다.
A, B, C의 작업 시간과 쉬는 시간 5분을 더하면 A, B, C는 각각 60분, 75분, 90분마다 마스크를 만듭니다. 세 명이 동시에 휴식을 취하는 시점은 세 명이 쉬고 난 직후가 같을 시점이 됩니다. 따라서 쉬고 난 직후가 처음으로 같을 시점을 구해야 하므로 공배수와 최소 공배수의 개념을 알아야 합니다.
결과적으로, LCM(60, 75, 90)은 900입니다. (LCM; Least Common Multiple, 최소 공배수)
따라서 A는 B, C와 휴식을 취한 직후가 처음으로 같을 시점까지 900/60 = 15 번 작업하고, 15번 X 9개 = 135개의 마스크를 만들어 냅니다.
B는 900/75 = 12번의 작업을 반복하고 12턴 X 15개 = 180개,
C는 900/90 = 10번의 작업을 반복하고 10턴 X 25개 = 250개의 마스크를 만들어 냅니다.
따라서, A, B, C가 하루에 제작한 마스크의 총 개수는 135개 + 180개 + 250개 = 565개가 됩니다.
이렇게 기본적인 수학 개념은 프로그래밍 문제를 해결하는데 큰 도움이 됩니다. 그리고 문제의 답을 도출해 내는 것보다, 해당 문제에서 최대 공약수와 최소 공배수를 활용해야겠다는 문제 해결 전략을 세우는 것이 가장 중요합니다.
문제 2
코드스테이츠 라운지에 있는 가로 24cm, 세로 12cm인 직사각형 모양 조형물의 가장자리에 조명을 설치하려고 합니다. 네 모퉁이에는 조명을 반드시 설치해야하고, 나머지 조명은 일정한 간격으로 설치하려고 할 때, 필요한 최소한의 조명 개수는 몇 개일까요? 이때, 꼭지점을 제외한 직사각형의 모든 변에는 최소 하나 이상의 조명이 반드시 설치되어야 합니다. (단, 설치한 조명의 간격은 정수로 이루어진 cm 단위입니다.)

모든 조명을 일정한 간격으로 설치해야 하므로, 가로변과 세로변의 공약수를 구해야 합니다.
가로와 세로 각각 나누어서 나머지가 없이 떨어지는 수들을 나열한 뒤, 공통된 수만 모으면 공약수를 구할 수 있습니다. 그리고 공약수를 기준으로 조명을 설치하면, 길이가 다른 가로와 세로여도 일정한 간격으로 나누어 조명을 설치할 수 있습니다.
최소로 필요한 조명의 개수를 파악해야 하기 때문에 최대 공약수가 필요합니다. 따라서 GCD(12, 24)는 12이고 네 모퉁이는 반드시 설치해야 하므로 각 변의 길이를 최대 공약수 12로 나누어 최소로 필요한 조명의 개수를 구할 수 있습니다. (GCD; Greatest Common Divisor, 최대 공약수)
정답은 12개입니다.
(12/12 + 24/12) X 2 = 3 X 2 = 6개
그러나 이 문제에서는 꼭지점을 제외한 직사각형의 모든 변에, 최소 하나 이상의 조명이 설치되어야 하므로 12를 제외한 최대 공약수로 문제를 해결해야 합니다.
(12/6 + 24/6) X 2 = 6 X 2 = 12개
3. 멱집합
집합 {1, 2, 3}의 모든 부분집합은 {}, {1}, {2}, {3}, {1, 2}, {1, 3}, {2, 3}, {1, 2, 3} 으로 나열할 수 있고, 이 부분집합의 총 개수는 8개입니다. 그리고 이 모든 부분집합을 통틀어 멱집합이라고 합니다. 이렇게 어떤 집합이 있을 때, 이 집합의 모든 부분집합을 멱집합 이라고 합니다. 모든 부분집합을 나열하는 방법은 다음과 같이 몇 단계로 구분할 수 있습니다. 부분집합을 나열하는 방법에서 가장 앞 원소(혹은 임의의 집합 원소)가 있는지, 없는지에 따라 단계를 나누는 기준을 결정합니다.
- Step A: 1을 제외한 {2, 3}의 부분집합을 나열합니다.
- Step B: 2를 제외한 {3}의 부분집합을 나열합니다.
- Step C: 3을 제외한 {}의 부분집합을 나열합니다. → {}
- Step C: {}의 모든 부분집합에 {3}을 추가한 집합들을 나열합니다. → {3}
- Step B: {3}의 모든 부분집합에 {2}를 추가한 집합들을 나열합니다.
- Step C: {3}의 모든 부분집합에 {2}를 추가한 집합들을 나열하려면, {}의 모든 부분집합에 {2}를 추가한 집합들을 나열한 다음 {}의 모든 부분집합에 {2, 3}을 추가한 집합들을 나열합니다. → {2}, {2, 3}
- Step B: 2를 제외한 {3}의 부분집합을 나열합니다.
- Step A: {2, 3}의 모든 부분집합에 {1}을 추가한 집합들을 나열합니다.
- Step B: {2, 3}의 모든 부분집합에 {1}을 추가한 집합들을 나열하려면, {3}의 모든 부분집합에 {1}을 추가한 집합들을 나열한 다음 {3}의 모든 부분집합에 {1, 2}를 추가한 집합들을 나열합니다.
- Step C: {3}의 모든 부분집합에 {1}을 추가한 집합을 나열하려면, {}의 모든 부분집합에 {1}을 추가한 집합들을 나열한 다음 {}의 모든 부분집합에 {1, 3}을 추가한 집합들을 나열합니다. → {1}, {1, 3}
- Step C: {3}의 모든 부분집합에 {1, 2}를 추가한 집합을 나열하려면, {}의 모든 부분집합에 {1, 2}를 추가한 집합들을 나열한 다음 {}의 모든 부분집합에 {1, 2, 3}을 추가한 집합들을 나열합니다. → {1, 2}, {1, 2, 3}
- Step B: {2, 3}의 모든 부분집합에 {1}을 추가한 집합들을 나열하려면, {3}의 모든 부분집합에 {1}을 추가한 집합들을 나열한 다음 {3}의 모든 부분집합에 {1, 2}를 추가한 집합들을 나열합니다.
원소가 있는지, 없는지 2가지 경우를 고려하기 때문에 집합의 요소가 n 개일 때 모든 부분집합의 개수는 2n개 입니다. 예를 들어 집합의 원소가 4개라면 모든 부분집합의 개수는 24, 집합의 원소가 5개라면 25가 됩니다. 간단히 {1, 2, 3}의 모든 부분집합을 구하는 단계는 다소 복잡해 보일 수 있습니다. 그러나 이 단계를 자세히 보면, 어디서 많이 본 듯한 패턴이지 않나요?
이 순서는, 트리구조와 비슷한 형태라는 사실을 떠올릴 수 있습니다.

멱집합을 구하는 방법에서 각 단계를 유심히 살펴보면, 순환 구조를 띠는 것을 확인할 수 있습니다. 여기서 순환구조는 임의의 원소를 제외하면서 집합을 작은 단위로 줄여나가는 방법입니다. 따라서, 문제를 작은 단위로 줄여나가는 재귀를 응용할 수 있습니다. 예를 들어 PowerSet 이라는 멱집합의 개수를 리턴하는 함수를 작성한다면, PowerSet 함수에서 자기 자신을 호출하며 문제를 더 작은 문제로 문제의 크기를 줄여 해결할 수 있습니다. 문제가 가장 작은 단위로 줄어들고, 함수가 리턴될 때 카운트를 올리는 방식으로 멱집합의 개수를 구할 수 있습니다.
4. 정규표현식
정규표현식을 한 문장으로 정의하면 문자열에서 특정한 문자를 찾아내는 도구입니다. 이를 이용하면 수십 줄이 필요한 코딩 작업을 간단하게 한두 줄로 끝낼 수 있습니다. 정규표현식은 특정한 규칙을 갖는 문자열로 이루어진 표현식이며, 정규표현식에서 특수 문자는 각각의 고유한 규칙을 갖고 있습니다. 우리는 이러한 규칙들을 조합하여 원하는 패턴을 만들고, 특정 문자열에서 해당 패턴과 대응하는 문자를 찾을 수 있습니다.
정규표현식은 응용을 통해 유효성 검사뿐 아니라 데이터 스크래핑, 문자열 파싱 등과 같은 다양한 상황에서 사용할 수 있습니다. 더불어 사용법을 숙지해 놓으면 알고리즘 문제에서 더욱 다양한 해결 아이디어를 얻을 수 있습니다.
대부분의 회원 가입이 필요한 서비스는 비밀번호 설정 시 특정 조건에 맞추어 입력하라고 요구합니다. 비밀번호 설정에 특정 조건을 요구하는 것은 보안 때문이지만, 그렇다면 해당 서비스의 관리자는 어떻게 비밀번호의 입력 조건을 설정하고 관리할까요? 다양한 방법이 있겠지만 문자열 관리를 간단하게 하는 방법으로 정규표현식이 있습니다.
예시를 한 번 살펴보겠습니다. 아래의 코드는 사용자가 입력한 이메일이나 휴대전화 번호가 유효한지 확인하고자 할 때 사용하는 정규표현식입니다. 정규표현식을 사용한다면, 한 줄의 코드만으로 이메일이나 휴대전화 번호의 유효성을 검사할 수 있지만, 만약 그렇지 않았다면 같은 결과를 얻기 위해서는 굉장히 긴 코드가 필요했을 것입니다.
이메일 유효성 검사
let regExp = /^[0-9a-zA-Z]([-_.]?[0-9a-zA-Z])*@[0-9a-zA-Z]([-_.]?[0-9a-zA-Z])*.[a-zA-Z]{2,3}$/i;
휴대전화 번호 유효성 검사
let regExp = /^01([0|1|6|7|8|9]?)-?([0-9]{3,4})-?([0-9]{4})$/;
이러한 정규표현식은 알고리즘 문제를 풀 때에도 적용할 수 있습니다.
문자열 str 이 주어질 때, str의 길이가 5 또는 7이면서 숫자로만 구성되어 있는지를 확인해 주는 함수를 작성하세요. 결과는 Boolean으로 리턴됩니다. 예를 들어 str가 c2021이면 false, 20212이면 true를 리턴합니다.
정규표현식을 사용하지 않고 이 문제를 해결하기 위한 코드를 작성한다면, 보통은 조건문을 통해 문자열 str의 길이와 문자의 포함 여부를 확인하는 방식으로 문제 풀이 코드를 작성했을 것입니다. 하지만 정규표현식을 이용하면 이 과정을 아래와 같이 한 줄로 줄일 수 있습니다.
function solution(str) {
return /^\d{5}$|^\d{7}$/.test(str);
}
이처럼 정규표현식을 알아두면 문자열을 다룰 때 코드를 간결하게 줄일 수 있는 유리한 상황이 있습니다.
정규표현식 사용하기
정규표현식은 두 가지 방법으로 사용할 수 있습니다.
리터럴 패턴
정규표현식 규칙을 슬래시(/)로 감싸 사용합니다. 슬래시 안에 들어온 문자열이 찾고자 하는 문자열이며, 컴퓨터에게 '슬래시 사이에 있는 문자열을 찾고 싶어!'라고 명령을 내리는 것입니다.
let pattern = /c/;
// 'c 를 찾을 거야!' 라고 컴퓨터에게 명령을 내리는 것입니다.
// 찾고 싶은 c를 pattern 이라는 변수에 담아놨기 때문에 이 변수를 이용하여 c 를 찾을 수 있습니다.
생성자 함수 호출 패턴
RegExp 객체의 생성자 함수를 호출하여 사용합니다.
let pattern = new RegExp('c');
// new 를 이용해서 정규 표현식 객체를 생성하고,
// 리터럴 패턴과 동일하게 'c 를 찾을 거야!' 라는 명령입니다.
정규표현식 내장 메소드
JavaScript 에서 정규표현식은 객체로서 내장 메소드를 가지고 있으며, String 객체에서도 정규표현식을 사용할 수 있는 내장메소드를 가지고 있습니다. 내장 메소드를 이용하면 어떤 문자열 안에 원하는 정보를 찾거나 특정 패턴에 대응하는 문자열을 검색, 추출, 다른 문자열로 치환할 수 있습니다.
RegExp 객체의 메소드
exec()
exec 는 execution 의 줄임말로, 원하는 정보를 뽑아내고자 할 때 사용합니다. 검색의 대상이 찾고자 하는 문자열에 대한 정보를 가지고 있다면 이를 배열로 반환하며, 찾는 문자열이 없다면 null을 반환합니다.
let pattern = /c/; // 찾고자 하는 문자열
pattern.exec('codestates') // 검색하려는 대상을 exec 메소드의 첫 번째 인자로 전달합니다.
// 즉, 'codestates' 가 'c' 를 포함하고 있는지를 확인합니다.
// 이 경우 'c' 가 포함되어 있으므로, ['c'] 를 반환합니다.
test()
찾고자 하는 문자열이 대상 안에 있는지의 여부를 boolean 으로 리턴합니다.
let pattern = /c/;
pattern.test('codestates');
// 이 경우는 'codestates'가 'c'를 포함하고 있으므로 true 를 리턴합니다.
String 객체의 메소드
match()
RegExp.exec() 와 비슷한 기능을 하며, 정규 표현식을 인자로 받아 주어진 문자열과 일치된 결과를 배열로 반환합니다. 일치되는 결과가 없으면 null 을 리턴합니다.
let pattern = /c/;
let str = 'codestates';
str.match(pattern);
// str 안에 pattern 이 포함되어 있으므로, ['c'] 를 반환합니다.
replace()
'검색 후 바꾸기'를 수행합니다. 첫 번째 인자로는 정규표현식을 받고, 두 번째 인자로는 치환하려는 문자열을 받습니다. 문자열에서 찾고자 하는 대상을 검색해서 이를 치환하려는 문자열로 변경 후 변경된 값을 리턴합니다.
let pattern = /c/;
let str = 'codestates';
str.replace(pattern, 'C');
// str 안에서 pattern 을 검색한 후 'C' 로 변경하여 그 결과를 리턴합니다.
// 여기서는 'Codestates'가 반환됩니다.
split()
주어진 인자를 구분자로 삼아, 문자열을 부분 문자열로 나누어 그 결과를 배열로 반환합니다.
"123,456,789".split(",") // ["123", "456", "789"]
"12304560789".split("0") // ["123", "456", "789"]
search()
정규표현식을 인자로 받아 가장 처음 매칭되는 부분 문자열의 위치를 반환합니다. 매칭되는 문자열이 없으면 -1을 반환합니다.
"JavaScript".search(/script/); // -1 대소문자를 구분합니다
"JavaScript".search(/Script/); // 4
"codestates".search(/ode/); // 1
flag
정규표현식은 플래그를 설정해 줄 수 있으며, 플래그는 추가적인 검색 옵션의 역할을 해 줍니다. 이 플래그들은 각자 혹은 함께 사용하는 것이 모두 가능하며, 순서에 구분이 없습니다. 아래는 자주 사용되는 3가지 플래그입니다.
i, g, m
i
i를 붙이면 대소문자를 구분하지 않습니다.
let withi = /c/i;
let withouti = /c/;
"Codestates".match(withi); // ['C']
"Codestates".match(withouti); // null
g
global 의 약자로, g 를 붙이면 검색된 모든 결과를 리턴합니다.
let withg = /c/g;
let withoutg = /c/;
"coolcodestates".match(withg); // ['c', 'c']
"coolcodestates".match(withoutg); // ['c'] g 가 없으면 첫 번째 검색 결과만 반환합니다
m
m을 붙이면 다중행을 검색합니다.
let str = `1st : cool
2nd : code
3rd : states`;
str.match(/c/gm)
// 3개의 행을 검색하여 모든 c 를 반환합니다.
// ['c', 'c']
str.match(/c/m)
// m은 다중행을 검색하게 해 주지만, g 를 빼고 검색하면 검색 대상을 찾는 순간 검색을 멈추기 때문에
// 첫 행의 ['c'] 만 리턴합니다.
정규식 패턴(표현식)
정규표현식에 다양한 특수기호를 함께 사용하면 문자열을 다룰 때에 더 많은 옵션을 설정할 수 있습니다.
| 정규식 | 패턴설명 |
| ^ | 줄(Line)의 시작에서 일치 /^abc/ |
| $ | 줄(Line)의 끝에서 일치 /xyz$/ |
| . | (특수기호, 띄어쓰기를 포함한) 임의의 한 문자 |
| a|b | a or b 와 일치, 인덱스가 작은 것을 우선 반환 |
| * | 0회 이상 연속으로 반복되는 문자와 가능한 많이 일치. {0,} 와 동일 |
| *? | 0회 이상 연속으로 반복되는 문자와 가능한 적게 일치. {0} 와 동일 |
| + | 1회 이상 연속으로 반복되는 문자와 가능한 많이 일치. {1,} 와 동일 |
| +? | 1회 이상 연속으로 반복되는 문자와 가능한 적게 일치. {0} 와 동일 |
| {3} | 숫자 3개 연속 일치 |
| {3,} | 3개 이상 연속 일치 |
| {3, 5} | 3개 이상 5개 이하 연속 일치 |
| () | 캡쳐(capture)할 그룹 |
| [a-z] | a부터 z 사이의 문자 구간에 일치(영어 소문자) |
| [A-Z] | A부터 Z 사이의 문자 구간에 일치(영어 대문자) |
| [0-9] | 0부터 9 사이의 문자 구간에 일치(숫자) |
| \(역슬래쉬) | escape 문자. 특수 기호 앞에 \를 붙이면 정규식 패턴이 아닌, 기호 자체로 인식 |
| \d | 숫자를 검색함. /[0-9]/와 동일 |
| \D | 숫자가 아닌 문자를 검색함. /[^0-9]/와 동일 |
| \w | 영어대소문자, 숫자, (underscore)를 검색함. /[A-Za-z0-9]/ 와 동일 |
| \W | 영어대소문자, 숫자, (underscore)가 아닌 문자를 검색함. /[^A-Za-z0-9]/ 와 동일 |
| [^] | []안의 문자열 앞에 ^이 쓰이면, []안에 없는 문자를 검색함 |
Anchors - ^ and $
^
^는 문자열의 처음을 의미하며, 문자열에서 ^뒤에 붙은 단어로 시작하는 부분을 찾습니다. 일치하는 부분이 있더라도, 그 부분이 문자열의 시작 부분이 아니면 null 을 리턴합니다.
"coding is fun".match(/^co/); // ['co']
"coding is fun".match(/^fun/); // null
$
$는 문자열의 끝을 의미하며, 문자열에서 $앞의 표현식으로 끝나는 부분을 찾습니다. ^와 비슷하지만 ^는 문자열의 시작을 찾는 반면, $는 문자열의 마지막 부분을 찾습니다. 마찬가지로 일치하는 부분이 있더라도, 그 부분이 문자열의 끝부분이 아니면 null 을 리턴합니다.
"coding is fun".match(/un$/); // ['un']
"coding is fun".match(/is$/); // null
"coding is fun".match(/^coding is fun$/);
// 문자열을 ^ 와 $ 로 감싸주면 그 사이에 들어간 문자열과 정확하게 일치하는 부분을 찾습니다
// ["coding is fun"]
Quantifiers — *, +, ? and {}
*
*는 *바로 앞의 문자가 0번 이상 나타나는 경우를 검색합니다. 아래와 같은 문자열이 있을 때에 /ode*/g 을 사용하게 되면 "od" 가 들어가면서 그 뒤에 "e"가 0번 이상 포함된 모든 문자열을 리턴합니다.
"co cod code codee coding codeeeeee codingding".match(/ode*/g);
// ["od", "ode", "odee", "od", "odeeeeee", "od"]
+
+ 도 * 와 같은 방식으로 작동하며, 다만 + 바로 앞의 문자가 1번 이상 나타나는 경우를 검색한다는 점이 *과 다를 뿐입니다.
"co cod code codee coding codeeeeee codingding".match(/ode*/g);
// ["ode", "odee", "odeeeeee"]
?
? 는 * 또는 + 와 비슷하지만, ? 앞의 문자가 0번 혹은 1번 나타나는 경우만 검색합니다. *? 또는 +? 와 같이 ?는 * 혹은 + 와 함께 쓰는 것도 가능하며, 함께 사용하였을 경우 검색 결과가 어떻게 달라지는지 아래 예시를 통해 비교해 보세요.
"co cod code codee coding codeeeeee codingding".match(/ode?/g);
// ["od", "ode", "ode", "od", "ode", "od"]
"co cod code codee coding codeeeeee codingding".match(/ode*?/g);
// ["od", "od", "od", "od", "od", "od"]
"co cod code codee coding codeeeeee codingding".match(/ode+?/g);
// ["ode", "ode", "ode"]
{} {}는 *, *?, +, +? 의 확장판으로 생각할 수 있습니다. *, *?, +, +? 가 '0개 이상' 또는 '1개 이상' 검색이 전부였던 반면, {}는 직접 숫자를 넣어서 연속되는 개수를 설정할 수 있습니다. 아래 예시와 함께 위 표에서 {}와 *, *?, +, +? 의 차이를 다시 한 번 비교해 보세요.
"co cod code codee coding codeeeeee codingding".match(/ode{2}/g);
// 2개의 "e"를 포함한 문자열을 검색합니다.
// ["odee", "odee"]
"co cod code codee coding codeeeeee codingding".match(/ode{2,}/g);
// 2개 이상의 "e"를 포함한 문자열을 검색합니다.
// ["odee", "odeeeeee"]
"co cod code codee coding codeeeeee codingding".match(/ode{2,5}/g);
// 2개 이상 5개 이하의 "e"를 포함한 문자열을 검색합니다.
// ["odee", "odeeeee"]
OR operator
| 는 or 조건으로 검색하여 | 의 왼쪽 또는 오른쪽의 검색 결과를 반환합니다.
"Cc Oo Dd Ee".match(/O|D/g); // ["O", "D"]
"Cc Oo Dd Ee".match(/c|e/g); // ["c", "e"]
"Cc Oo Dd Ee".match(/D|e/g); // ["D", "e"]
"Ccc Ooo DDd EEeee".match(/D+|e+/g); // + 는 1번 이상 반복을 의미하기 때문에
// ["DD", "eee"] 를 반환합니다.
Bracket Operator - []
대괄호 [] 안에 명시된 값을 검색합니다.
[abc] // a or b or c 를 검색합니다. or(|) Operator 로 작성한 a|b|c 와 동일하게 작동합니다.
[a-c] // [abc] 와 동일합니다. - 로 검색 구간을 설정할 수 있습니다.
"Ccc Ooo DDd EEeee".match(/[CD]+/g); // [] 에 + 등의 기호를 함께 사용할 수도 있습니다.
// C or D 가 한 번 이상 반복된 문자열을 반복 검색하기 때문에
// ["C", "DD"] 가 반환됩니다.
"Ccc Ooo DDd EEeee".match(/[co]+/g); // ["cc", "oo"]
"Ccc Ooo DDd EEeee".match(/[c-o]+/g); // - 때문에 c ~ o 구간을 검색하여
// ["cc", "oo", "d", "eee"] 가 반환됩니다.
"AA 12 ZZ Ad %% Az !# dd 54 zz".match(/[A-Za-z]+/g);
// a~z 또는 A~Z 에서 한 번 이상 반복되는 문자열을 반복 검색하기 때문에
// ["AA", "ZZ", "Ad", "Az", "dd", "zz"] 를 반환합니다.
"AA 12 ZZ Ad %% Az !# dd 54 zz".match(/[A-Z]+/gi);
// flag i 는 대소문자를 구분하지 않기 때문에 위와 동일한 결과를 반환합니다.
// ["AA", "ZZ", "Ad", "Az", "dd", "zz"]
"AA 12 ZZ Ad %% Az !# dd 54 zz".match(/[0-9]+/g);
// 숫자도 검색 가능합니다.
// ["12", "54"]
"aAbB$#67Xz@9".match(/[^a-zA-Z]+/g);
// [] 안에 ^ 를 사용하면 anchor 로서의 문자열의 처음을 찾는것이 아닌
// 부정을 나타내기 때문에 [] 안에 없는 값을 검색합니다.
// ["$#67", "@9"]
Character classes
\d & \D
\d 의 d 는 digit 을 의미하며 0 ~ 9 사이의 숫자 하나를 검색합니다. [0-9] 와 동일합니다.
\D 는 not Digit 을 의미하며, 숫자가 아닌 문자 하나를 검색합니다. [^0-9] 와 동일합니다.
"abc34".match(/\d/); // ["3"]
"abc34".match(/[0-9]/) // ["3"]
"abc34".match(/\d/g); // ["3", "4"]
"abc34".match(/[0-9]/g) // ["3", "4"]
"abc34".match(/\D/); // ["a"]
"abc34".match(/[^0-9]/); // ["a"]
"abc34".match(/\D/g); // ["a", "b", "c"]
"abc34".match(/[^0-9]/g); // ["a", "b", "c"]
\w & \W
\w 는 알파벳 대소문자, 숫자, _(underbar) 중 하나를 검색합니다. [a-zA-Z0-9_]와 동일합니다.
\W 는 알파벳 대소문자, 숫자, _ (underbar)가 아닌 문자 하나를 검색합니다. [^a-zA-Z0-9_]와 동일합니다.
"ab3_@A.Kr".match(/\w/); //["a"]
"ab3_@A.Kr".match(/[a-zA-Z0-9_]/) // ["a"]
"ab3_@A.Kr".match(/\w/g); //["a", "b", "3", "_", "A", "K", "r"]
"ab3_@A.Kr".match(/[a-zA-Z0-9_]/g) // ["a", "b", "3", "_", "A", "K", "r"]
"ab3_@A.Kr".match(/\W/); // ["@"]
"ab3_@A.Kr".match(/[^a-zA-Z0-9_]/); // ["@"]
"ab3_@A.Kr".match(/\W/g); // ["@", "."]
"ab3_@A.Kr".match(/[^a-zA-Z0-9_]/g); // ["@", "."]
Grouping and capturing
()
()는 그룹으로 묶는다는 의미 이외에도 다른 몇 가지 의미가 더 있습니다. 하나하나 살펴보겠습니다.
그룹화 표현식의 일부를 ()로 묶어주면 그 안의 내용을 하나로 그룹화할 수 있습니다. 아래 예시를 통해 그룹화와 그렇지 않은 결과의 차이를 비교해 봅시다.
let co = 'coco';
let cooo = 'cooocooo';
co.match(/co+/); // ["co", index: 0, input: "coco", groups: undefined]
cooo.match(/co+/); // ["cooo", index: 0, input: "cooocooo", groups: undefined]
co.match(/(co)+/); // ["coco", "co", index: 0, input: "coco", groups: undefined]
cooo.match(/(co)+/); // ["co", "co", index: 0, input: "cooocooo", groups: undefined]
co+ 는 "c"를 검색하고 + 가 "o"를 1회 이상 연속으로 반복되는 문자를 검색해 주기 때문에 "cooo"가 반환되었습니다. 하지만 (co)+ 는 "c" 와 "o" 를 그룹화하여 "co"를 단위로 1회 이상 반복을 검색하기 때문에 "coco"가 반환되었습니다. 여기서 특이한 점은 일치하는 문자열로 반환된 결과가 2개입니다. 이제 이 이유에 대해 알아봅니다.
캡처 () 로 그룹화한다고 하였고, 이를 캡처한다 라고 합니다. 그럼 아래 예시를 통해 캡처했을 경우의 작동방식을 확인합니다.
co.match(/(co)+/); // ["coco", "co", index: 0, input: "coco", groups: undefined]
- () 로 "co"를 캡처
- 캡처한 "co" 는 일단 당장 사용하지 않고, + 가 "co"의 1회 이상 연속 반복을 검색
- 이렇게 캡처 이외 표현식이 모두 작동하고 나면, 캡처해 두었던 "co"를 검색
따라서 2번 과정에 의해 "coco" 가 반환되고, 3번에 의해 "co"가 반환되는 것입니다.
한가지 예시를 더 살펴보겠습니다. 아래 예시 코드의 검색 및 결과 반환 순서는 다음과 같습니다.
"2021code".match(/(\d+)(\w)/);
// ["2021c", "2021", "c", index: 0, input: "2021code", groups: undefined]
- () 안의 표현식을 순서대로 캡처 ⇒ \d+ 와 \w
- 캡처 후 남은 표현식으로 검색 ⇒ 이번 예시에는 남은 표현식은 없습니다.
- \d 로 숫자를 검색하되 + 로 1개 이상 연속되는 숫자를 검색 ⇒ 2021
- \w 로 문자를 검색 ⇒ c
- 3번과 4번이 조합되어 "2020c" 가 반환
- 첫 번째 캡처한 (\d+) 로 인해 2021 이 반환
- 두 번째 캡처한 (\w) 로 인해 "c" 가 반환
문자열 대체 시 캡처된 값 참조 캡처된 값은 replace() 메소드를 사용하여 문자 치환 시 참조 패턴으로 사용될 수 있습니다. 아래 예시를 살펴보세요. 우선 첫 번째 (\w+) 가 code 를 캡처하고, 두 번째 (\w+) 가 states 를 캡처합니다. (/(\w+)\ 와 (\w+)/\사이의 . 은 . 앞에 역슬래시가 사용되었기 때문에 '임의의 한 문자'가 아닌 기호로서의 온점 . 을 의미합니다.) 각 캡처된 값은 첫 번째는 $1 이 참조, 두 번째는 $2 이 참조하기 때문에 이 참조된 값을 "$2.$1" 이 대체하게 되어 code 와 states 가 뒤바뀐 "states.code" 가 반환됩니다.
"code.states".replace(/(\w+)\.(\w+)/, "$2.$1"); //states.code
non-capturing
() 를 사용하면 그룹화와 캡처를 한다고 하였습니다. 하지만 (?:)로 사용하면 그룹은 만들지만 캡처는 하지 않습니다.
let co = 'coco';
co.match(/(co)+/); // ["coco", "co", index: 0, input: "coco", groups: undefined]
co.match(/(?:co)+/);
// ["coco", index: 0, input: "coco", groups: undefined]
// 위 "캡처" 예시의 결괏값과 비교해 보시기 바랍니다.
lookahead
(?=) 는 검색하려는 문자열에 (?=여기) 에 일치하는 문자가 있어야 (?=여기) 앞의 문자열을 반환합니다.
"abcde".match(/ab(?=c)/);
// ab 가 c 앞에 있기 때문에 ["ab"] 를 반환합니다.
"abcde".match(/ab(?=d)/);
// d 의 앞은 "abc" 이기 때문에 null 을 반환합니다.
negated lookahead
(?!) 는 (?=) 의 부정입니다.
"abcde".match(/ab(?!c)/); // null
"abcde".match(/ab(?!d)/); // ["ab"]
'Algorithm > 이론' 카테고리의 다른 글
| [알고리즘] 중복순열, 순열에 대해서 (DFS) (0) | 2021.07.25 |
|---|---|
| [알고리즘] 소수 판별식 (에라토스테네스의 체) (0) | 2021.07.21 |
| [알고리즘] Time Complexity / greedy Algorithm / implementation (2) | 2021.07.20 |
| [알고리즘] Graph / Tree / BST (1) | 2021.06.19 |
| [자료구조] 자료구조 기초 Stack, Queue (2) | 2021.06.17 |